Interactions between the golden mussel and native benthic macroinvertebrates of Uruguay River
DOI:
https://doi.org/10.26461/22.04Keywords:
Limnoperna fortunei, biofouling, native benthic fauna, biological invasionsAbstract
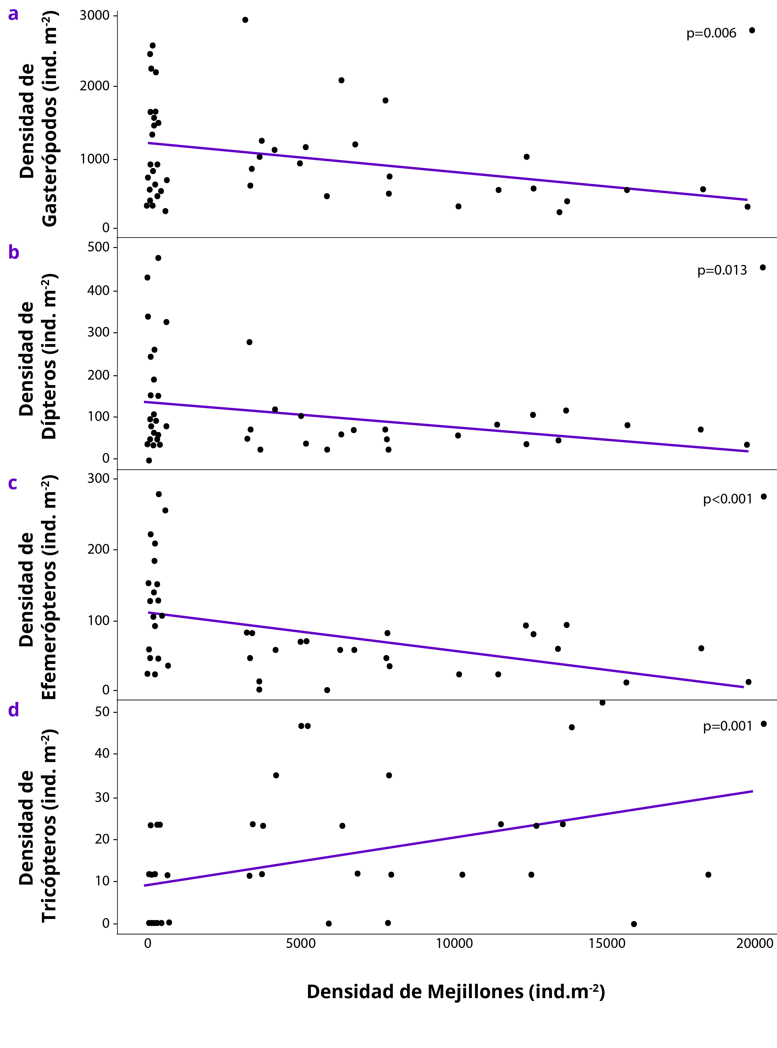
The ecosystem effects of Limnoperna fortunei have been studied nationally in recent years. However, the interactions that this invader establishes with the native benthic fauna have not been determined in detail. The objective of this study was to collect information on the interactions between the golden mussel and macroinvertebrates native to the Uruguay River, through (a) bibliographic survey, (b) photographic record obtained in the field and (c) analysis of data from an experiment of colonization carried out previously on rocky shores of this river. The interactions reported in the bibliography mainly referred to direct interactions of L. fortunei biofouling on native bivalve and gastropod species, with a potential negative effect for these individuals. The photographic documentation specifically made it possible to report for the first time in the region, a direct interaction of L. fortunei with the Spongillidae family, through which these porifers cover and suffocate already settled mussels. Finally, through the experiment carried out in situ, it was found that the mussel generates indirect negative effects on some native benthic macroinvertebrates. According to the data analysis, a high abundance of settled mussels is related to a reduction in the abundances of two of the dominant native benthic groups of this river, such as gastropods and dipterans.
Downloads
References
Boltovskoy, D. y Correa, N., 2015. Ecosystem impacts of the invasive bivalve Limnoperna fortunei (golden mussel) in South America. En: Hydrobiologia, 746, pp.81-95. DOI: https://doi.org/10.1007/s10750-014-1882-9
Boltovskoy, D., Karatayev, A., Burlakova, L., Cataldo, D., Karatayev, V., Sylvester, F. y Marinelarena, A., 2009. Significant ecosystem-wide effects of the swiftly spreading invasive freshwater bivalve Limnoperna fortunei. En: Hydrobiologia, 636(1), pp.271-284. DOI: https://doi.org/10.1007/s10750-009-9956-9
Boltovskoy, D., Xu, M. y Nakano, D., 2015. Impacts of Limnoperna fortunei on man-made structures and control strategies: general overview. En: Boltovskoy, D., ed. Limnoperna fortunei: the ecology, distribution and control of a swiftly spreading invasive fouling mussel. Cham: Springer. pp. 375-393. DOI: https://doi.org/10.1007/978-3-319-13494-9_21
Brugnoli, E., Clemente, J., Boccardi, L., Borthagaray, A. y Scarabino, F., 2005. Golden mussel Limnoperna fortunei (Bivalvia, Mytilidae) distribution in the principal hydrographic basin of Uruguay: Update and prediction. En: Anais da Academia Brasileira de Ciências, 77(2), pp.235-244. DOI: https://doi.org/10.1590/S0001-37652005000200004
Brugnoli, E., Clemente, J., Riestra, G., Boccardi, L. y Borthagaray, A., 2006. Especies acuáticas exóticas en Uruguay: situación, problemática y gestión. En: Menafra, R., Rodríguez, L., Scarabino, F. y Conde, D., eds. Bases para la conservación y manejo de la costa uruguaya. Montevideo: Vida Silvestre Uruguay. pp.351-362.
Brugnoli, E., Dabezies, M.J., Clemente, J. y Muniz, P., 2011. Limnoperna fortunei (Dunker 1857) en el sistema de embalses del Río Negro, Uruguay. En: Oecologia Australis, 15, pp.576-592. DOI: 10.4257/oeco.2011.1503.10
Burlakova, L.E., Karatayev, A.Y. y Karatayev, V.A., 2012. Invasive mussels induce community changes by increasing habitat complexity. En: Hydrobiologia, 685, pp.121-134. DOI: https://doi.org/10.1007/s10750-011-0791-4
Cataldo, D.H., Boltovskoy, D. y Pose, M., 2003. Toxicity of chlorine and three non-oxidising molluscicides to the pest mussel Limnoperna fortunei. En: Journal of the American Waterworks Association, 95, pp.66-78. DOI: https://doi.org/10.1002/j.1551-8833.2003.tb10270.x
Cataldo, D., O´Farrell, I., Paolucci, E., Sylvester, F. y Boltovskoy, D., 2012a. Impact of the invasive golden mussel (Limnoperna fortunei) on phytoplankton and nutrient cycling in South America. En: Aquatic Invasions, 7, pp.91-100. DOI: 10.3391/ai.2011.ICAIS
Cataldo, D., Vinocur, A., Inés, O., Paolucci, E., Leites, V. y Boltovskoy, D., 2012b. The introduced bivalve Limnoperna fortunei boosts Microcystis growth in Salto Grande reservoir (Argentina): evidence from mesocosm experiments. En: Hydrobiologia, 680(1), pp.25-38. DOI: https://doi.org/10.1007/s10750-011-0897-8
Clemente, J., Iglesias, C., Kröger, A. y José, J., 2015. First record of the golden mussel Limnoperna fortunei Dunker, 1857 (Bivalvia: Mytilidae) in a lentic system in Uruguay. En: Pan-American Journal of Aquatic Sciences, 10(1), pp.89-93.
Costa, C., Ide, S. y Simonka, C.E., 2006. Insetos imaturos: metamorfose e identificação. Ribeirão Preto: Holos Editora.
Crooks, J.A., 2002. Characterizing ecosystem-level consequences of biological invasions: the role of ecosystem engineers. En: Oikos, 97, pp.153–166.
Cummins, K.W. y Klug, M.J., 1979. Feeding ecology of stream invertebrates. En: Annual Review of Ecology and Systematics, 10(1), pp.147-172.
Darrigran, G., 2002. Potential impact of filter-feeding invaders on temperate inland freshwater environments. En: Biological Invasions, 4(1-2), pp.145-156. DOI: https://doi.org/10.1023/A:1020521811416
Darrigran, G., Martin, S.M., Gullo, B. y Armendariz, L., 1998. Macroinvertebrates associated with Limnoperna fortunei (Dunker, 1857) (Bivalvia, Mytilidae) in Río de la Plata, Argentina. En: Hydrobiologia, 367(1-3), pp.223-230.
de Melo Rosa, D., da Costa Gaspar, M.R., Silva, F.A. y Pompeu, P.S., 2019. Impacts of predation by piapara Megaleporinus obtusidens (Valenciennes, 1837) on the population densities of the invasive golden mussel Limnoperna fortunei (Dunker, 1857). En: Biological control, 129, pp.158–163. DOI: https://doi.org/10.1016/j.biocontrol.2018.10.012
Delignette-Muller, M.L. y Dutang, C., 2015. Fitdistrplus: an R package for fitting distributions. En: Journal of Statistical Software, 64, pp.1-34. DOI: 10.18637/jss.v064.i04
Domínguez, E. y Fernández, H.R., eds., 2009. Macroinvertebrados bentónicos sudamericanos. Tucumán: Fundación Miguel Lillo.
Domínguez, E., Molineri, C., Pescador, M.L., Hubbard, M.D. y Nieto, C., 2006. Ephemeroptera de América del Sur. En: Adis, J., Arais, J.R., Rueda-Delgado, G. y Wantzen, K.M., eds. Biodiversidad acuática en América Latina. Vol. II. Sofía: Pensoft.
Duchini, D., Boltovskoy, D. y Sylvester, F., 2018. The invasive freshwater bivalve Limnoperna fortunei in South America: multiannual changes in its predation and effects on associated benthic invertebrates. En: Hydrobiologia, 817, pp.431-446. DOI: https://doi.org/10.1007/s10750-018-3561-8
Eugui, F., Clavijo, C., Röhrdanz, A., Calvo, C., Gibson, K., Plantz, A., Scarabino, F., Carranza, A., Meerhoff, M. y Burks, R., 2012. Macrofouling del mejillón dorado Limnoperna fortunei (Bivalvia) sobre Ampullariidae (Gastropoda) en aguas continentales del Uruguay. En: Sociedad Zoológica del Uruguay. Libro de resúmenes del II Congreso Uruguayo de Zoología. Montevideo: Sociedad Zoológica del Uruguay. pp.69.
Ezcurra de Drago, I., 2004. Biodiversidad de Porifera en el Litoral Argentino. Grado de competencia con el bivalvo invasor Limnoperna fortunei (Dunker, 1857) (Bivalvia, Mytilidae). En: Miscelánea, 12, pp.195-204. ISSN 1514-4836 - ISSN On-Line 1668-3242
Ezcurra de Drago, I., Montalto, I. y Oliveros, O., 2006. Desarrollo y ecología larval de Limnoperna fortunei. En: Darrigran, G. y Damborenea, C., eds. Bio-invasión del mejillón dorado en el continente americano. La Plata: Universidad Nacional de la Plata.
Fortunato, H., 2021. Impacto ecológico do mexilhão dourado sobre a comunidade bentónica. En: 3er Worshop: Mexilhão dourado: uma ameaça ao ambiente e à sociedade. Projeto Mexilhão dourado um compromisso com o Brasil. Brasil (19 de marzo de 2021). [s.l.]. [s.n.]
Karatayev, A.Y., Burlakova, L.E., Karatayev, V.A. y Boltovskoy, D., 2010. Limnoperna fortunei versus Dreissena polymorpha: population densities and benthic community impacts of two invasive freshwater bivalves. En: Journal of Shellfish Research, 29, pp.975-984. DOI: https://doi.org/10.2983/035.029.0432
Linares, M.S., Callisto, M. y Marques, J.C., 2017. Invasive bivalves increase benthic communities complexity in neotropical reservoirs. En: Ecological Indicators, 75, pp.279-285. DOI: https://doi.org/10.1016/j.ecolind.2016.12.046
Logan, M., 2010. Biostatistical design and analysis using R: a practical guide. Chichester: Wiley-Blackwell.
Lopes, M., Vieira, J.P. y Burns, M.D., 2009. Biofouling of the golden mussel Limnoperna fortunei (Dunker, 1857) over the Anomura crab Aegla platensis Schmitt, 1942. En: Pan-American Journal of Aquatic Sciences, 4(2), pp.222-225.
Mansur, M.C.D., dos Santos, C.P., Darrigran, G., Heydrich, I., Callil, C.T. y Cardoso, F.R., 2003. Primeiros dados quali-quantitativos do mexilhão-dourado, Limnoperna fortunei (Dunker), no Delta do Jacuí, no Lago Guaíba e na Laguna dos Patos, Rio Grande do Sul, Brasil e alguns aspectos de sua invasão no novo ambiente. En: Revista Brasileira de Zoologia, 20(1), pp.75-84. DOI: https://doi.org/10.1590/S0101-81752003000100009
Mansur, M.C.D., Richinitti, L.M.Z. y dos Santos, C.P., 1999. Limnoperna fortunei (Dunker, 1857) molusco bivalve invasor na bacia do Guaíba, Rio Grande do Sul, Brasil. En: Biociências, 7(2), pp.147-149.
Pastorino, G., Darrigran, G.A., Martin, S.M. y Lunaschi, L., 1993. Limnoperna fortunei (Dunker, 1857) (Mytilidae), nuevo bivalvo invasor en aguas del Río de la Plata. En: Neotropica, 39, pp.34.
Pérez, M.C., 2012. Las incrustaciones biológicas (biofouling) y metodología para su control. La Plata: Universidad Nacional de La Plata. (Disertación Doctoral).
Rojas Molina, F.R. y Williner, V., 2013. First record of the non-indigenous mussel Limnoperna fortunei (Bivalvia, Mytilidae) as an epibiont of the crab Trichodactylus borellianus (Decapoda, Trichodactylidae). En: Crustaceana, 86(6), pp.682-692. DOI: http://dx.doi.org/10.1163/15685403-00003183
Sardiña, P., Cataldo, D. y Boltovskoy, D., 2008. The effects of the invasive mussel, Limnoperna fortunei, on associated fauna in South American freshwaters: importance of physical structure and food supply. En: Fundamental and Applied Limnology/Archiv fur Hydrobiologie, 173, pp.135-144. DOI: 10.1127/1863-9135/2008/0173-0135
Scarabino, F., 2004. Conservación de la malacofauna uruguaya. En: Comunicaciones de la Sociedad Malacológica del Uruguay, 8(83), pp.267-273.
Scarabino, F. y Verde, M., 1995. Limnoperna fortunei (Dunker 1857) en la costa uruguaya del Río de la Plata (Bivalvia; Mytilidae). En: Comunicaciones de la Sociedad Malacológica del Uruguay, 7, pp.374-375.
Silva, I., Naya, D., Teixeira de Mello, F., D'Anatro, A., Tesitore, G.; Clavijo, C. y González-Bergonzoni, I., 2020. Fish vs. aliens: predatory fish regulate populations of Limnoperna fortunei mitigating impacts on native macroinvertebrates communities. En: Hydrobiología, pp.1-21. DOI: https://doi.org/10.1007/s10750-020-04421-9
Soutullo, A., Clavijo, C. y Martínez-Lanfranco, J.A., eds., 2013. Especies prioritarias para la conservación en Uruguay. Vertebrados, moluscos continentales y plantas vasculares. Montevideo: SNAP, DINAMA, MVOTMA, MEC.
Sylvester, F., Boltovskoy, D. y Cataldo, D., 2007. The invasive bivalve Limnoperna fortunei enhances benthic invertebrate densities in South American floodplain rivers. En: Hydrobiologia, 589(1), pp.15-27. DOI: https://doi.org/10.1007/s10750-007-0708-4
Sylvester, F., Dorado, J., Boltovskoy, D., Juarez, A. y Cataldo, D., 2005. Filtration rates of the invasive pest bivalve Limnoperna fortunei as a function of size and temperature. En: Hydrobiologia, 534, pp.71-80. DOI: https://doi.org/10.1007/s10750-004-1322-3
Sylvester, F. y Sardiña, P., 2015. Relationships of Limnoperna fortunei with benthic animals. En: Boltovskoy, D., ed. Limnoperna Fortunei. The ecology, distribution and control of a swiftly spreading invasive fouling mussel. Cham: Springer. (Invading Nature - Springer Series in Invasion Ecology, vol. 10). pp.191-210. DOI: https://doi.org/10.1007/978-3-319-13494-9_11
Welker, M. y Walz, N., 1998. Can mussels control the plankton in rivers? a planktological approach applying a Lagrangian sampling strategy. En: Limnology and Oceanography, 43(5), pp.753-762. DOI: https://doi.org/10.4319/lo.1998.43.5.0753
Additional Files
Published
How to Cite
Issue
Section
License
Los autores del manuscrito declaran conocer y aceptar los siguientes términos de responsabilidad:
Haber participado lo suficiente en el trabajo como para hacer pública la responsabilidad por su contenido.
Que el manuscrito representa un trabajo original que no fue publicado ni está siendo considerado por otra revista para su publicación, en parte o en forma íntegra, tanto impresa como electrónica.
Que en caso de ser solicitado, procurará o cooperará en la obtención y suministro de datos sobre los cuales el manuscrito esté basado.
Declara que la información divulgada que pudiera pertenecer a un tercero cuenta con la autorización correspondiente.
Autorización para la publicación y compromiso de cita de primera publicación
Los autores/as conservan los derechos de autor y ceden a la revista INNOTEC / INNOTEC Gestión el derecho de la primera publicación, con el trabajo registrado con la licencia de atribución Creative Commons Reconocimiento-NoComercial 4.0 Internacional. Creative Commons, que permite a terceros utilizar lo publicado siempre que mencionen la autoría del trabajo y a la primera publicación en esta revista sin fines comerciales.
El autor se compromete a realizar la cita completa de la edición institucional de esta primer publicación en las siguientes publicaciones -completas o parciales- efectuadas en cualquier otro medio de divulgación, impreso o electrónico.
Los autores/as pueden realizar otros acuerdos contractuales no comerciales independientes y adicionales para la distribución no exclusiva de la versión del artículo publicado en esta revista (p. ej., incluirlo en un repositorio institucional o publicarlo en un libro) siempre que indiquen claramente que el trabajo se publicó por primera vez en esta revista.
Se permite a los autores/as publicar su trabajo en Internet (por ejemplo en páginas institucionales o personales) antes y durante el proceso de revisión, ya que puede conducir a intercambios productivos y a una mayor y más rápida difusión del trabajo publicado (vea The Effect of Open Access). A su vez los autores/as autorizan al LATU a publicar el trabajo en su repositorio digital.
Los conceptos y opiniones vertidos en los artículos son de responsabilidad de sus autores.
Este obra está bajo una licencia Reconocimiento-NoComercial 4.0 Internacional.





