Análise da variabilidade do erro da massa convencional na calibração de pesos de 5 kg, 10 kg e 20 kg com matrizes de 1 kg
DOI:
https://doi.org/10.26461/28.05Palavras-chave:
calibração de pesos, reprodutibilidade, índices de compatibilidade, metrologia, desvio padrãoResumo
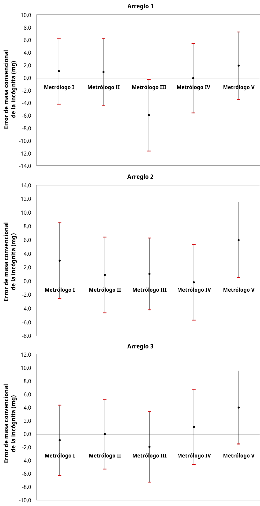
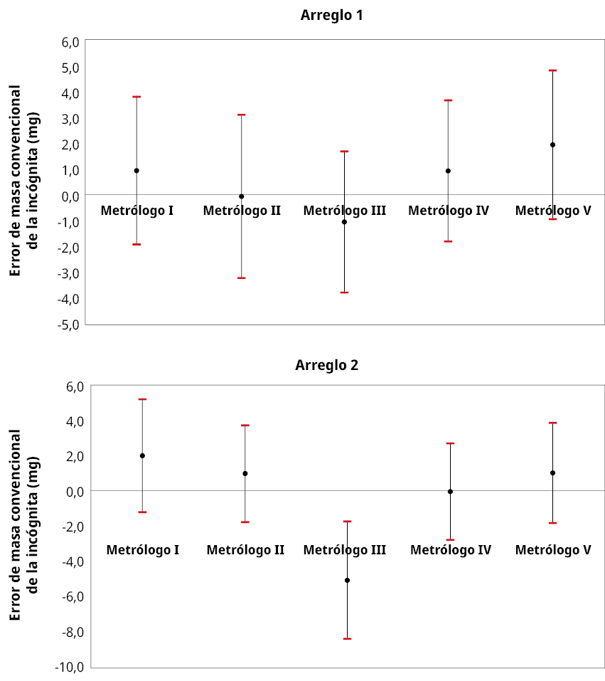
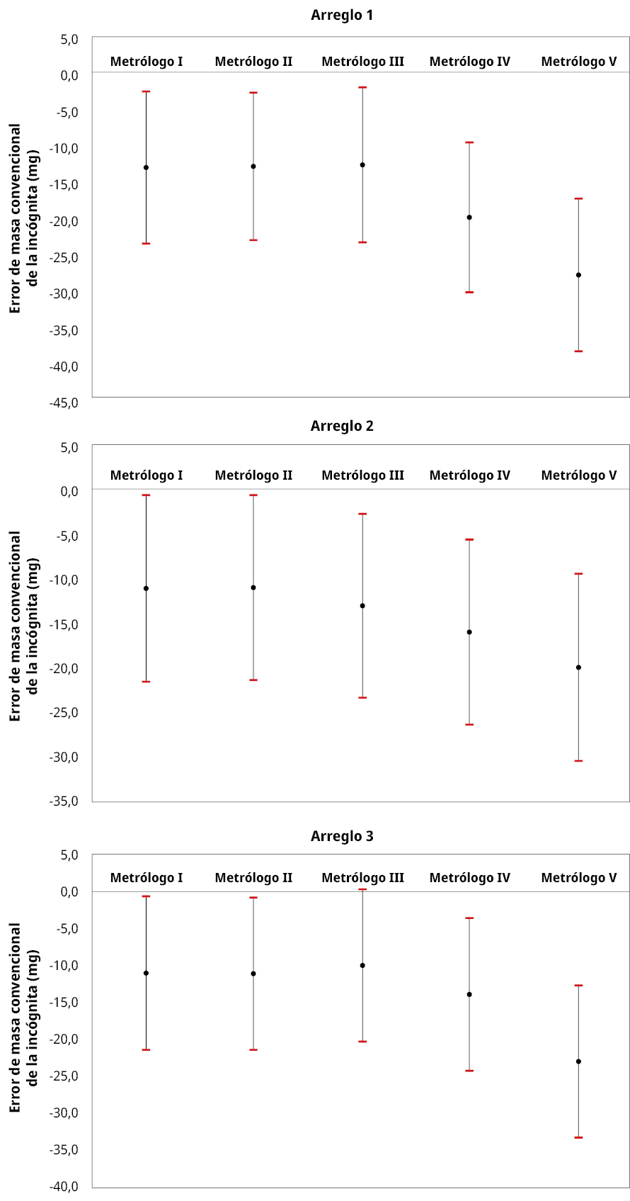
Neste estudo, foram avaliados os desvios-padrão e os gráficos de erro obtidos a partir das medições de cinco metrologistas utilizando diferentes matrizes de calibração com valores nominais de 5 kg, 10 kg e 20 kg da classe F1, usando massas de 1 kg da classe E2. Foram efetuadas duas matrizes para 5 kg e três matrizes para 10 kg e 20 kg. Através de matrizes de índice de compatibilidade, foi efetuado um estudo de reprodutibilidade para as diferentes matrizes com os respectivos valores nominais. Os resultados mostraram que, para o peso de 5 kg, a matriz 1 revelou-se a mais eficaz, apresentando um desvio padrão inferior ao da matriz 2, o que sugere uma menor variabilidade entre metrologistas. Para o peso de 10 kg, a disposição 3 apresentou o menor desvio-padrão, destacando-se como a opção mais reprodutível. Para as calibrações de 20 kg, a disposição 2 foi identificada como a mais recomendada, apresentando um menor desvio-padrão em comparação com as disposições 1 e 3. Estes resultados realçam a importância de escolher a disposição de pesos mais adequada para este tipo de calibração neste âmbito. Desta forma, é possível assegurar a reprodutibilidade neste tipo de medição, garantindo a qualidade e fiabilidade do método de medição utilizado.
Downloads
Referências
Becerra, L., 2003. Control estadístico de las mediciones (Aplicación a la calibración de pesas) [En línea]. México: CENAM. [Consulta: 12 de septiembre de 2024]. Disponible en: https://www.cenam.mx/myd/pages/publicaciones/articulos/doc/Control%20Estad.pdf
Bureau Internacional de Pesas y Medidas (BIPM), (s.d.). Base de Datos KCDB – CENAMEP AIP [En línea]. [s.l.]: [s.n.]. [Consulta: 1 de julio de 2024]. Disponible en: https://www.bipm.org/kcdb/cmc/quick-search?keywords=Panama.
Centro Español de Metrología, 2008. Guía para la Expresión de la Incertidumbre de Medida [En línea]. Madrid: CEM. [Consulta: 6 de julio de 2024]. Disponible en: https://www.cem.es/sites/default/files/gum20digital1202010.pdf
Centro Español de Metrología, 2012. Vocabulario Internacional de Metrología conceptos fundamentales y generales, y términos asociados [En línea]. 3ra ed. Madrid: CEM. [Consulta: 16 de agosto de 2024]. Disponible en: https://www.cem.es/sites/default/files/vim-cem-2012web.pdf
Centro Español de Metrología, 2020. Procedimiento ME025 para la determinación del valor convencional de masa [En línea]. Madrid: CEM. [Consulta: 6 de julio de 2024]. Disponible en: https://www.cem.es/sites/default/files/me025me007-me015__masa_convencional_digital_ed1_0.pdf
Centro Nacional de Metrología de Panamá, s.d. Servicios de calibración por coordinación [En línea]. Panamá: CENAMEP AIP. [Consulta: 21 de julio de 2024]. Disponible en: https://www.cenamep.org.pa/calibraciones/
Chinchilla, C.; Guevara, D. y Quan, F., 2001. Diagnóstico de la metrología en el área de masas y balanzas de la industria alimenticia [En línea]. El Salvador: Universidad Don Bosco. [Consulta: 21 de julio de 2024]. Disponible en: https://rd.udb.edu.sv/server/api/core/bitstreams/580ebc3e-7b1e-4efa-9086-77a6e5a84e31/content
Díaz, J., 2018. Estudio de repetibilidad y reproducibilidad [En línea]. México: Instituto Tecnológico de Pabellón de Arteaga. [Consulta: 24 de julio de 2024]. Disponible en: https://pabellon.tecnm.mx/CENTRODEINFORMACION/app/files/081050145.pdf
Luján, A.; Pezet, F. y Becerra, L., 2006. Capacidad de medición y calibración en el laboratorio de Patrones de referencia (división masa y densidad) [En línea]. México: CENAM. [Consulta: 4 de octubre de 2024]. Disponible en: https://cenam.mx/memsimp06/Trabajos%20Aceptados%20para%20CD/Posters/P-18.pdf
Moroto, A.; Boque, R.; Riu, J. y Rius, X., s.d. Cálculo de incertidumbre en medidas físicas: Medida de una masa. Tarragona: Universitat Rovira i Virgili.
Organización Internacional de Metrología Legal (OIML), 2004a. Conventional value of the result of weighing in air [En línea]. Paris: OIML. [Consulta: 21 de junio de 2024]. Disponible en: https://www.oiml.org/en/files/pdf_d/d028-e04.pdf
Organización Internacional de Metrología Legal (OIML), 2004b. International Recommendation OIML R 111-1 Weights of classes E1, E2, F1, F2, M1, M1-2, M2, M2-3 and M3. Part 1: Metrological and technical requirements [En línea]. Paris: OIML. [Consulta: 26 de junio de 2024]. Disponible en: https://www.oiml.org/en/files/pdf_r/r111-1-e04.pdf
Rocío, M. y Pellecer, J., 2002. Metrología para no metrólogos. 2da. ed. Guatemala: SIM OEA. pp. 47-54.
Talavera, M. y Pezet, F., 2002. Trazabilidad en las mediciones de masa [En línea]. México: CENAM. [Consulta: 21 de julio de 2024]. Disponible en: https://www.cenam.mx/memorias/descarga/simposio%202002/doctos/te077.pdf
Arquivos adicionais
- Tabla 1 (Español (España))
- Tabla 2 (Español (España))
- Tabla 3 (Español (España))
- Tabla 4 (Español (España))
- Tabla 5 (Español (España))
- Tabla 6 (Español (España))
- Figura 1 (Español (España))
- Figura 2 (Español (España))
- Figura 3 (Español (España))
- Figura 4 (Español (España))
- Figura 5 (Español (España))
- Figura 6 (Español (España))
- Figura 7 (Español (España))
Publicado
Como Citar
Edição
Seção
Licença
Copyright (c) 2024 Katherine Quezada, Dimas Gracia, Abdiel López, José Díaz, Aníbal Candelaria, Edwin Aizpurua

Este trabalho está licenciado sob uma licença Creative Commons Attribution-NonCommercial 4.0 International License.
Los autores del manuscrito declaran conocer y aceptar los siguientes términos de responsabilidad:
Haber participado lo suficiente en el trabajo como para hacer pública la responsabilidad por su contenido.
Que el manuscrito representa un trabajo original que no fue publicado ni está siendo considerado por otra revista para su publicación, en parte o en forma íntegra, tanto impresa como electrónica.
Que en caso de ser solicitado, procurará o cooperará en la obtención y suministro de datos sobre los cuales el manuscrito esté basado.
Declara que la información divulgada que pudiera pertenecer a un tercero cuenta con la autorización correspondiente.
Autorización para la publicación y compromiso de cita de primera publicación
Los autores/as conservan los derechos de autor y ceden a la revista INNOTEC / INNOTEC Gestión el derecho de la primera publicación, con el trabajo registrado con la licencia de atribución Creative Commons Reconocimiento-NoComercial 4.0 Internacional. Creative Commons, que permite a terceros utilizar lo publicado siempre que mencionen la autoría del trabajo y a la primera publicación en esta revista sin fines comerciales.
El autor se compromete a realizar la cita completa de la edición institucional de esta primer publicación en las siguientes publicaciones -completas o parciales- efectuadas en cualquier otro medio de divulgación, impreso o electrónico.
Los autores/as pueden realizar otros acuerdos contractuales no comerciales independientes y adicionales para la distribución no exclusiva de la versión del artículo publicado en esta revista (p. ej., incluirlo en un repositorio institucional o publicarlo en un libro) siempre que indiquen claramente que el trabajo se publicó por primera vez en esta revista.
Se permite a los autores/as publicar su trabajo en Internet (por ejemplo en páginas institucionales o personales) antes y durante el proceso de revisión, ya que puede conducir a intercambios productivos y a una mayor y más rápida difusión del trabajo publicado (vea The Effect of Open Access). A su vez los autores/as autorizan al LATU a publicar el trabajo en su repositorio digital.
Los conceptos y opiniones vertidos en los artículos son de responsabilidad de sus autores.
Este obra está bajo una licencia Reconocimiento-NoComercial 4.0 Internacional.





