Experiencia de aplicación de microorganismos efectivos nativos (MEN) para el tratamiento de aguas residuales
DOI:
https://doi.org/10.26461/24.06Palabras clave:
coliformes fecales, aguas residuales, tratamiento, pozos sépticosResumen
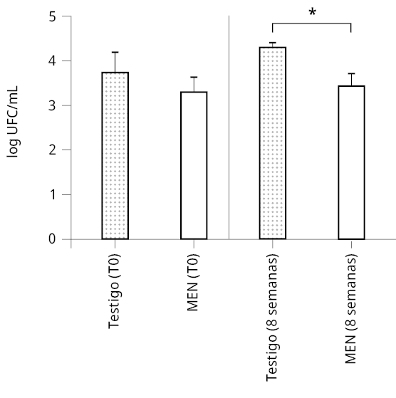
La contaminación fecal es uno de los principales problemas de calidad del agua dulce a nivel mundial. Una de las soluciones propuestas para este problema es el tratamiento de los efluentes a nivel doméstico o local con preparados biológicos tales como los microorganismos efectivos nativos (MEN). En este trabajo se evaluó la eficacia de un preparado de MEN producido en Uruguay para disminuir la contaminación fecal en efluentes domésticos. Para ello se realizaron experimentos a distintas escalas: desde in vitro hasta en pozos sépticos de viviendas y un tramo del arroyo Malvín (in situ), combinando preparado líquido con sólido y empleando a los coliformes fecales (CF) y la materia orgánica particulada como indicadores del rendimiento. En el laboratorio y en los pozos sépticos, los CF disminuyeron significativamente luego de 8 semanas de aplicación. En el arroyo Malvín se observó una disminución de los CF y una recuperación visual del curso de agua, con un aumento de la transparencia y el oxígeno disuelto. Los resultados de este trabajo sugieren que la aplicación de MEN en aguas residuales domiciliarias constituye una aproximación promisoria para reducir la contaminación fecal de los efluentes domésticos y enfatizan la necesidad de cambiar los hábitos de construcción de los pozos sépticos.
Descargas
Citas
Ab Muttalib, S. A., Ismail, S. N. S. y Praveena, S. M., 2016. Application of effective microorganism (EM) in food waste composting: A review [En línea]. En: Asia Pacific Environmental and Occupational Health Journal, 2(2), pp.37–47. [Consulta: 29 de julio de 2022]. Disponible en: http://www.apeohj.org/apeohj/ojs/index.php/apeohj/index
Alonso, J., Quintans, F., Taks, J., Conde, D., Chalar, G., Arocena, R., Haakonsson, Aubriot, L., Goyenola, G., Muniz, P., Marrero, A., Hutton, N., Venturini, N., Pita, A. L., Iglesias, Ka., Ríos, M., Zaldúa, N., Teixeira de Mello, F., Soutullo, A., Eguren, G., Victoria, M., López- Tort, F., Maya, L., Castells, M., Benitez, M.J., Lizasoain, A., Bertoni, E., Bortagaray, V., Salvo, M., Colina, R., Azuriz, K., Castagnet, N., Evia, V., Fernández, A., Lagos, X., Marrero, L., Milans, F., Piaggio, M., Rezzano, N., López, J., Rodríguez, L., Garat, S., Pintos, M., Iriburo, A., Brena, B. y Méndez, H. 2019a. Water quality in Uruguay: current status and challenges (Section 1). En: UNESCO. Water quality in the Americas. México: UNESCO/ IANAS. pp.561–563.
Alonso, J., Quintans, F., Taks, J., Conde, D., Chalar, G., Arocena, R., Haakonsson, Aubriot, L., Goyenola, G., Muniz, P., Marrero, A., Hutton, M., Venturini, N., Pita, A. L., Iglesias, Ka., Ríos, M., Zaldúa, N., Teixeira de Mello, F., Soutullo, A., Eguren, G., Victoria, M., López- Tort, F., Maya, L., Castells, M., Benitez, M.J., Lizasoain, A., Bertoni, E., Bortagaray, V., Salvo, M., Colina, R., Azuriz, K., Castagnet, N., Evia, V., Fernández, A., Lagos, X., Marrero, L., Milans, F., Piaggio, M., Rezzano, N., López, J., Rodríguez, L., Garat, S., Pintos, M., Iriburo, A., Brena, B. y Méndez, H. 2019b. Water quality in Uruguay: current status and challenges (Sections 5 y 6). En: UNESCO. Water quality in the Americas. México: UNESCO/ IANAS. pp.585–597.
American Public Health Association, American Water Works Association and Water Environment Federation, 2012. Standard methods for the examination of water and wastewater. 22a ed. Washington: APHA. Standard Method 4500 CL. Bonilla, S., Haakonsson, S., Somma, A., Gravier, A., Britos, A., Vidal, L., De León, L., Brena, B., Pírez, M., Piccini, C., Martinez de la Escalera, G., Chalar, G., Gonzalez-Piana, M., Martigani, F. y Aubriot, L., 2015. Cianobacterias y cianotoxinas en ecosistemas límnicos de Uruguay. En: INNOTEC, (10), pp.9-22. DOI: https://doi.org/10.26461/10.01
Chalar, G., 2006. Dinámica de la eutrofización a diferentes escalas temporales: embalse Salto Grande (Argentina - Uruguay). En: Galizia Tundisi, José, Matsumura Tundisi, Takako y Sidagis Galli, Corina, eds. Eutrofização na América do Sul: Causas, conseqüências e tecnologias de gerenciamento e controle. [s.l.]: Instituto Internacional de Ecologia, Instituto Internacional de Ecologia e Gerenciamento Ambiental, Academia Brasileira de Ciências, Conselho Nacional de Desenvolvimento Científico e Tecnológico, InterAcademy Panel on International Issues, InterAmerican Network of Academies of Sciences. pp.87-101.
Cremeneac, L. y Boclaci, T., 2018. The role of efficient microorganisms in the process of obtaining the biocompost. En: Scientific Papers Series-Management, Economic Engineering in Agriculture and Rural Development, 18(2), pp.135–139. ISSN 2284-7995, E-ISSN 2285-3952.
de Araujo Ávila, G. M., Gabardo, G., Clock, D. C. y de Lima Junior, O. S., 2021. Use of efficient microorganisms in agriculture. En: Research, Society and Development, 10(8), e40610817515–e40610817515. DOI: http://dx.doi.org/10.33448/rsd-v10i8.17515
Domenico, P., 2019. Effective microorganisms for germination and root growth in Kalanchoe daigremontiana. En: World Journal of Advanced Research and Reviews, 3(3), pp.47–53. DOI: https://doi.org/10.30574/wjarr.2019.3.3.0074
Elosegui, A., 2009. Conceptos y técnicas en ecología fluvial. Barcelona: Fundación BBVA. Goyenola, G., Kruk, C., Mazzeo, N., Nario, A., Perdomo, C., Piccini, C. y Meerhoff, M., 2021. Producción, nutrientes, eutrofización y cianobacterias en Uruguay: armando el
rompecabezas. En: INNOTEC, (22), e558. DOI: https://doi.org/10.26461/22.02
Heinl, S. y Grabherr, R., 2017. Systems biology of robustness and flexibility: Lactobacillus buchneri—A show case. En: Journal of Biotechnology, 257, pp.61–69. DOI: https://doi.org/https://doi.org/10.1016/j.jbiotec.2017.01.007
Higa, T., 1996. An earth saving revolution (Issue BOOK). Tokio: Sunmark Publishing inc.
Higa, T. y Parr, J. F., 1994. Beneficial and effective microorganisms for a sustainable agriculture and environment (Vol. 1). Atami: International Nature Farming Research Center.
Huisman, J., Codd, G. A., Paerl, H. W., Ibelings, B. W., Verspagen, J. M. H. y Visser, P. M., 2018. Cyanobacterial blooms. En: Nature Reviews Microbiology, 16(8), pp.471–483. DOI: https://doi.org/10.1038/s41579-018-0040-1
Khan, F. A. y Ansari, A. A., 2005. Eutrophication: an ecological vision. En: The Botanical Review, 71(4), pp.449–482. DOI: https://doi.org/10.1663/0006-8101(2005)071[0449:EAEV]2.0.CO;2
Kruk, C., Dobroyan, M., Leticia González, Angel M. Segura, I. B., Natalia, Trabal, Fernanda De León, Gastón Martínez, A. R., Piccini, C. y Verrastro, N. 2019. Calidad de agua y salud ecosistémica en playas recreativas de La Paloma, Rocha. En: Asociación de Universidades Grupo Montevideo. II Congreso de Agua, Ambiente y Energía. Montevideo, Uruguay, (25-27 de setiembre). Montevideo: Asociación de Universidades Grupo Montevideo.
Kruk, C., Martínez, A., de la Escalera, G. M., Trinchin, R., Manta, G., Segura, A. M., Piccini, C., Brena, B., Yannicelli, B. y Fabiano, G., 2020. Rapid freshwater discharge on the coastal ocean as a mean of long distance spreading of an unprecedented toxic cyanobacteria bloom. En: Science of The Total Environment, 754, 142362. DOI: https://doi.org/10.1016/j.scitotenv.2020.142362
Kyan, T., Shintani, M., Kanda, S., Sakurai, M., Ohashi, H., Fujisawa, A. y Pongdit, S., 1999. Kyusei nature farming and the technology of effective microorganisms. Atami: Asian Pacific Natural Agricultural Network.
Li, Y., Fang, L., Yuanzhu, W., Mi, W., Ji, L., Guixiang, Z., Yang, P., Chen, Z. y Bi, Y., 2022. Anthropogenic activities accelerated the evolution of river trophic status. En: Ecological Indicators, 136, 108584. DOI: https://doi.org/10.1016/j.ecolind.2022.108584
Lurling, M., Tolman, Y. y van Oosterhout, F., 2010. Cyanobacteria blooms cannot be controlled by Effective Microorganisms (EM®) from mud- or Bokashi-balls. En: Hydrobiologia, 646(1), pp.133–143. DOI: https://doi.org/10.1007/s10750-010-0173-3
Maier, R. M. y Pepper, I. L., 2015. Bacterial growth. En: Pepper, Ian L., Gerba, Charles P. y Gentry, Terry J., ed. Environmental Microbiology. 3ra ed. San Diego: Academic Press. pp. 37-56. DOI: https://doi.org/10.1016/B978-0-12-394626-3.00003-X
Margulis, L., Bassler, B., Sandín, M., Restrepo, J., Labrador, J., Ruipérez, V., Mata, F., Santos, E., Pozuelo, P., Mier, J., Goldman, M., Lázaro, L. A., y Urederra, A. 2014. Microbiótica. Madrid: Ediciones Si. ISBN 978-84-941811-9-1.
Mesa, F., 2020. Proyecto Entrebichitos, sobre microorganismos efectivos. En: Mesa, F. Una experiencia: Entrebichitos. Montevideo: Cooperativa MEN Entrebichitos. pp.53-57.
Miao, V. y Davies, J., 2010. Actinobacteria: the good, the bad, and the ugly. En: Antonie Van Leeuwenhoek, 98(2), pp.143–150. DOI: https://doi.org/10.1007/s10482-010-9440-6
Namsivayam, S. K. R., Narendrakumar, G. y Kumar, J. A., 2011. Evaluation of effective microorganism (EM) for treatment of domestic sewage. En: Journal of Experimental Sciences, 2(7). ISSN: 2218-1768.
Nikitin, A. N., Okumoto, S., Gutzeva, G. Z., Shintani, M., Leferd, G. A., Cheshyk, I. A. y Higa, T., 2018. Effective microorganisms as a potential tool for the remediation of 137Cs- contaminated Soils. En: Massachusetts Institute of Technology. 4th International
Conference on Universal Village (UV). Boston, Estados Unidos, (23-24 de octubre de 2018). Boston: Massachusetts Institute of Technology. DOI: https://doi.org/10.1109/UV.2018.8642116
Okuda, A. y Higa, T., 1999. Purification of waste water with Effective Microorganisms and its utilization in agriculture. En: INFRC. Proceedings of the 5th International Conference on Kyusei Nature Farming. Pretoria: INFRC. pp.246–253.
Park, G. S., Khan, A. R., Kwak, Y., Hong, S. J., Jung, B., Ullah, I., Kim, J. G., y Shin, J. H. 2016. An improved effective microorganism (EM) soil ball-making method for water quality restoration. En: Environmental Science and Pollution Research, 23(2), pp.1100–1107. DOI: https://doi.org/10.1007/s11356-015-5617-x
Pereira, M. M. A., Morais, L. C., Marques, E. A., Martins, A. D., Cavalcanti, V. P., Rodrigues, F. A., Gonçalves, W. M., Blank, A. F., Pasqual, M. y Dória, J. 2019. Humic substances and efficient microorganisms: elicitation of medicinal plants-a review. En: J Agric Sci, 11(7).
DOI: https://doi:10.5539/jas.v11n7p268
Pires, J. F., Viana, D. C., Braga Jr, R. A., Schwan, R. F. y Silva, C. F., 2021. Protocol to select efficient microorganisms to treat coffee wastewater. En: Journal of Environmental Management, 278, 111541. DOI: https://doi.org/10.1016/j.jenvman.2020.111541
Ruíz, J., François, M., Ortíz, L., Trasante, T., Azziz, G. y Bajsa, N., 2019. Consorcios microbianos como mejoradores de suelo: conocimiento desde los agricultores. En: Facultad de Veterinaria, CIDEC y CSIC. XII Simposio Internacional de Recursos Genéticos Para América y El Caribe. Rocha, Uruguay, (8-11 de diciembre de 2019). Rocha: Facultad de Veterinaria, CIDEC y CSIC.
Sharma, A., Saha, T. N., Arora, A., Shah, R. y Nain, L. 2017. Efficient microorganism compost benefits plant growth and improves soil health in Calendula and Marigold. En: Horticultural Plant Journal, 3(2), pp.67–72. DOI: https://doi.org/10.1016/j.hpj.2017.07.003
Sitarek, M., Napiórkowska-Krzebietke, A., Mazur, R., Czarnecki, B., Pyka, J. P., Stawecki, K., Olech, M., Sołtysiak, S. y Kapusta, A., 2017. Application of effective microorganisms technology as a lake restoration tool a case study of Muchawka reservoir. En: J. Elem, 22, pp.529–543. DOI: http://dx.doi.org/10.5601/jelem.2016.21.2.1196
Soumastre, M., Rodríguez-Gallego, L. y Piccini, C., 2015. Enterobacterial growth in coastal groundwater wells of Cabo Polonio (Uruguay): An experimental approach. En: Pan-American Journal of Aquatic Sciences, 10(3), pp.182–188.
Soumastre, M., Piccini, J., Rodríguez-Gallego, L., González, L., Rodríguez-Graña, L., Calliari, D. y Piccini, C., 2022. Spatial and temporal dynamics and potential pathogenicity of fecal coliforms in coastal shallow groundwater wells. En: Environmental Monitoring and
Assessment, 194(2), pp.1–17. DOI: https://doi.org/10.1007/s10661-021-09672-0
Szymanski, N. y Patterson, R. A., 2003. Effective microorganisms (EM) and wastewater systems [En línea]. En: Patterson, R. A. y Jones, M. J., eds. Proceedings of On-site ’03 Conference. Armidale: Lanfax Laboratories Armidale. pp.347-354. ISBN 0-9579438-1-4 [Consulta: 15 de agosto de 2022]. Disponible en: http://www.lanfaxlabs.com.au/papers/P53-03-Szymanski-Patterson.PDF
Talaat, N. B., Ghoniem, A. E., Abdelhamid, M. T. y Shawky, B. T., 2015. Effective microorganisms improve growth performance, alter nutrients acquisition and induce compatible solutes accumulation in common bean (Phaseolus vulgaris L.) plants subjected to salinity stress. En: Plant Growth Regulation, 75(1), 281–295. DOI: https://doi.org/10.1007/s10725-014-9952-6
Trasante, T., García, S., Lassevich, D., Senatore, D. y Bajsa, N., 2019. Caracterización del consorcio de Microorganismos Efectivos Nativos (MEN) y su uso en compostaje y cultivo de lechuga. En: Sociedad Uruguaya de Biociencias. II Congreso Nacional de Biociencias. Montevideo, Uruguay, (4-7 de setiembre de 2019). Montevideo: Sociedad Uruguaya de Biociencias
Uruguay. Ministerio de Vivienda, Ordenamiento Territorial y Medio Ambiente, 2020. Plan nacional de saneamiento. Montevideo: Uruguay.
Yu, C., Li, Z., Xu, Z. y Yang, Z., 2020. Lake recovery from eutrophication: quantitative response of trophic states to anthropogenic influences. En: Ecological Engineering, 143, 105697. DOI: https://doi.org/10.1016/j.ecoleng.2019.105697
Zakaria, Z., Gairola, S. y Shariff, N. M., 2010. Effective microorganisms (EM) technology for water quality restoration and potential for sustainable water resources and management [En línea]. En: International Environmental Modelling & Software Society. 5th International Congress on Environmental Modelling and Software. Ottawa, Canadá, (1 de julio de 2010). Ottawa: iEMSs. [Consulta: 15 de agosto de 2022]. Disponible en: https://scholarsarchive.byu.edu/iemssconference/2010/all/142/
Publicado
Cómo citar
Número
Sección
Licencia
Derechos de autor 2022 Gimena Echeverriborda, Federico Mesa, Guillermo Chalar, Carla Kruk, Claudia Piccini

Esta obra está bajo una licencia internacional Creative Commons Atribución-NoComercial 4.0.
Los autores del manuscrito declaran conocer y aceptar los siguientes términos de responsabilidad:
Haber participado lo suficiente en el trabajo como para hacer pública la responsabilidad por su contenido.
Que el manuscrito representa un trabajo original que no fue publicado ni está siendo considerado por otra revista para su publicación, en parte o en forma íntegra, tanto impresa como electrónica.
Que en caso de ser solicitado, procurará o cooperará en la obtención y suministro de datos sobre los cuales el manuscrito esté basado.
Declara que la información divulgada que pudiera pertenecer a un tercero cuenta con la autorización correspondiente.
Autorización para la publicación y compromiso de cita de primera publicación
Los autores/as conservan los derechos de autor y ceden a la revista INNOTEC / INNOTEC Gestión el derecho de la primera publicación, con el trabajo registrado con la licencia de atribución Creative Commons Reconocimiento-NoComercial 4.0 Internacional. Creative Commons, que permite a terceros utilizar lo publicado siempre que mencionen la autoría del trabajo y a la primera publicación en esta revista sin fines comerciales.
El autor se compromete a realizar la cita completa de la edición institucional de esta primer publicación en las siguientes publicaciones -completas o parciales- efectuadas en cualquier otro medio de divulgación, impreso o electrónico.
Los autores/as pueden realizar otros acuerdos contractuales no comerciales independientes y adicionales para la distribución no exclusiva de la versión del artículo publicado en esta revista (p. ej., incluirlo en un repositorio institucional o publicarlo en un libro) siempre que indiquen claramente que el trabajo se publicó por primera vez en esta revista.
Se permite a los autores/as publicar su trabajo en Internet (por ejemplo en páginas institucionales o personales) antes y durante el proceso de revisión, ya que puede conducir a intercambios productivos y a una mayor y más rápida difusión del trabajo publicado (vea The Effect of Open Access). A su vez los autores/as autorizan al LATU a publicar el trabajo en su repositorio digital.
Los conceptos y opiniones vertidos en los artículos son de responsabilidad de sus autores.
Este obra está bajo una licencia Reconocimiento-NoComercial 4.0 Internacional.




