Evaluar la efectividad de la levadura de cerveza subproducto de la industria cervecera como bioestimulante en hidroponía
DOI:
https://doi.org/10.26461/24.05Palabras clave:
PGPM, sustentabilidad, Arabidopsis thaliana, Eruca vesicaria, Lactuca sativaResumen
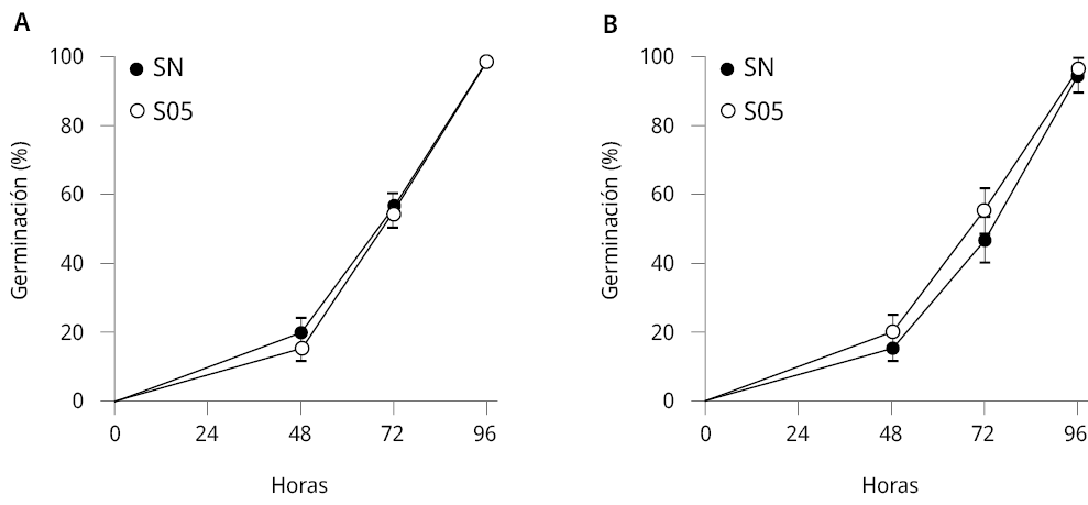
Es conocida la capacidad de algunos microorganismos de estimular el crecimiento y desarrollo de las plantas. Sin embargo, el uso de levaduras de la industria cervecera como agentes promotores del crecimiento de plantas (PGPM) ha sido brevemente estudiado. El objetivo de este trabajo fue caracterizar y analizar el uso de la levadura residual de la fabricación de cerveza artesanal en cultivos hidropónicos. Se evaluó el efecto de la adición de dicha levadura en el crecimiento y desarrollo de Arabidopsis thaliana, Eruca vesicaria y Lactuca sativa en almácigo y en sistemas hidropónicos. Se observó un aumento significativo en el largo de la raíz principal luego del tratamiento con las suspensiones de levadura en A. thaliana y E. vesicaria crecidas en almácigos (SN 4.28 ± 0.15, S05 7.30 ± 0.29; SN 39.68 ± 2.20, S05 57.37 ± 2.80, respectivamente). En sistemas hidropónicos de raíz flotante, la inoculación de levadura a la solución hidropónica incrementó un 30% el área radicular de L. sativa en relación con el control. Se concluye que la inoculación de S. cerevisiae cepa J14 aislada del residuo de la elaboración de cerveza, sola o incorporada a la solución nutritiva de sistemas hidropónicos, podría ser una herramienta biotecnológica como bioestimulante y/o promotor del crecimiento vegetal.
Descargas
Citas
Abdul Ameer, M. A. y Hussein, H. F., 2020. Induction of Rhizophagy by yeast Saccharomyces cerevisiae in roots of lettuce Lactuca sativa roots of lettuce Lactuca sativa. En: J. Phys.: Conf. Ser., 1664(1), 012116. DOI: http://dx.doi.org/10.1088/1742-6596/1664/1/012116
Abhilash, P.C., Dubey R.K., Tripathi, V., Gupta, V.K. y Singh, H.B., 2016. Plant growth-promoting microorganisms for environmental sustainability. En: Trends Biotechnol, 34(11), pp.847–850. DOI: https://doi.org/10.1016/j.tibtech.2016.05.005
Abhilash, P.C., Tripathi, V., Edrisi, S.A. Gupta, V.K. y Singh, H.B., 2019. Sustainability of crop production from polluted lands. En: Energ. Ecol. Environ., 1, pp.54-65. DOI: https://doi.org/10.1007/s40974-016-0007-x
Amprayn, K., Rose, M. T., Kecskés, M., Pereg, L., Thanh, H. y Kennedy, I.R., 2012. Plant growth promoting characteristics of soil yeast (Candida tropicalis HY) and its effectiveness for promoting rice growth. En: Appl. Soil Ecol., 61, pp.295-299. DOI: https://doi.org/10.1016/j.apsoil.2011.11.009
AOAC International, 1984. Official Methods of Analysis of AOAC International. 14a ed. Washington: AOAC. Official Method 2.062.
AOAC International, 1998. Official Methods of Analysis of AOAC International. 15a ed. Washington: AOAC. Official Method 942.05.
Baras, T., 2018. DIY hydroponic gardens: how to design and build an inexpensive system for growing plants in water. Beverly: Cool Springs Press. ISBN-10: 0760357595.
Bedolla-Torres, M. H., Palacios, A., Palacios, O. A., Choix, F. J., Jesús F. De, Valle A., López, D.R., Luis, J., Villavicencio, E., Luna, R. De, Trujillob, A. G., Avila Serranod, N. Y. y Ortega Pérez, R., 2015. La irrigación con levaduras incrementa el contenido nutricional del forraje verde hidropónico de maíz. En: Rev Argent Microbiol., 47(3), pp. 236-244. DOI: https://doi.org/10.1016/j.ram.2015.04.002
Bekuma, A., 2019. Nutritional benefit and economic value of hydroponics fodder production technology in sustainable livestock production against climate change – a mini-review. En: Adv. Appl. Sci., 4(1), pp.23-25.
Bewley, J. D. y Black M. eds., 1982. Physiology and biochemistry of seeds in relation to germination. Vol. 1. Development, germination and growth. Berlin: Springer Verlag. ISBN: 978-3-642-68643-6.
Boratyn, M. G., Camacho, C., Cooper, P. S., Coulouris, G., Fong, A., Ma, N., Madden, T. L., Matten, W.T., McGinnis, S. D., Merezhuk, Y., Raytselis, Y., Sayers, R.W., Tao, Ye J. y Zaretskaya, I., 2013. BLAST: a more efficient report with usability improvements. En: Nucleic Acids Research, 41(1), pp. 29–33, DOI: https://doi.org/10.1093/nar/gkt282
Cloete, K. J., Valentine, A. J., Stander, M. A., Blomerus, L. M. y Botha, A., 2009. Evidence of symbiosis between the soil yeast Cryptococcus laurentii and a sclerophyllous medicinal shrub, Agathosma betulina (Berg.) Pillans. En: Microb Ecol., 57(4), pp. 624-32. DOI: https://doi.org/10.1007/s00248-008-9457-9
Compant, S., Samad, A., Faist, H. y Sessitsch, A. A review on the plant microbiome: Ecology, functions and emerging trends in microbial applications. En: J. Adv., 19, pp. 29–37. DOI: https://doi.org/10.1016/j.jare.2019.03.004
El-Tarabily, K. A. y Sivasithamparam, K., 2006. Potential of yeasts as biocontrol agents of soil-borne fungal plant pathogens and as plant growth promoters. En: Mycoscience, 47, pp. 25–35. DOI: https://doi.10.1007/s10267-005-0268-2
Falih, A. M. y Wainwright, M., 1995. Nitrification, S-oxidation and P-solubilization by the soil yeast Williopsis californica and by Saccharomyces cerevisiae. En: Mycol Res, 99(2), pp. 200-204. DOI: https://doi.org/10.1016/S0953-7562(09)80886-1
Freimoser, F. M., Paula, M., Mejia, R., Tilocca, B. y Migheli, Q., 2019. Biocontrol yeasts: mechanisms and applications. En: World J Microbiol Biotechnol, 35(10), pp.154. DOI: https://doi.org/10.1007/s11274-019-2728-4
Glick, B. R., 2012. Plant growth-promoting bacteria: mechanisms and applications. En: Scientifica, ID 963401. DOI: https://doi.org/10.6064/2012/963401
Gómez Alonso, S., Gutiérrez, I. H. y García-Romero, E., 2007. Simultaneus HPLC Analysis of Biogenic Amines, amino acids and ammonium ion as aminoenone derivates in wine and beer samples. En: J. Agric. Food Chem., 55(3), pp. 608-613. DOI: https://doi.org/10.1021/jf062820m
GraphPad, 2007. Prism. Vers. 1992-2007 5.01. San Diego: GraphPad Sofware, Inc.
Hardoim, P. R., van Overbeek, L. S., Berg, G., Pirttilä, A. M., Compant, S. y Campisano, A. 2015. The hidden world within plants: ecological and evolutionary considerations for defining functioning of microbial endophytes. En: Microbiol Mol Biol Rev, 79(3), pp. 293-320. DOI: https://doi.org/10.1128%2FMMBR.00050-14
Joshi, M., Vaishnava, C. S. y Sharma, S. K., 2018. Economical analysis of feeding hydroponics maize fodder with and without supplementation of probiotic (Saccharomyces Cerevisae) in gir calves. En: Int. J. Sci. Environ. Technol, 7(3), pp. 809-814. ISSN 2278-3687
Kurtzman, C. P. y Robnett, C. J., 1997. Identification of clinically important ascomycetous yeasts based on nucleotide divergence in the 59 end of the large-subunit (26S) ribosomal DNA gene. En: J. Clin. Microbiol, 35(5), pp. 1216–1223. DOI: https://doi.org/10.1128/jcm.35.5.1216-1223.1997
Lonhienne, T., Mason, M. G., Raganm M. A., Hugenholtz, P., Schmidt y S., Paungfoo-lonhienne, C., 2015. Yeast as a biofertilizer alters plant growth and morphology. En: Crop Sci., 54(2), pp.785–790. DOI: https://doi.org/10.2135/cropsci2013.07.0488
Malamy, J. E. y Benfey, P.N., 1997. Organization and cell differentiation in lateral roots of Arabidopsis thaliana. En: Development, 124(1), pp. 33–44. DOI: https://doi.org/10.1242/dev.124.1.33
Martínez-Mate, M. A., Martin-Gorriz, B., Martínez-Álvarez, V., Soto-García, M., Maestre-Valero, J. F. y 2018. Hydroponic system and desalinated seawater as an alternative farm-productive proposal in water scarcity areas: energy and greenhouse gas emissions analysis of lettuce production in southeast Spain. En: J Clean Prod, 172, pp.1298–310. DOI: https://doi.org/10.1016/j.jclepro.2017.10.275
Marulanda, C. e Izquierdo, J., 2003. La huerta hidropónica popular [En línea]. Santiago: FAO. [Consulta: 1 de noviembre 2022]. Disponible en: https://www.fao.org/3/ah501s/ah501s.pdf
Mukherjee, A., Verma, J. P. y Hesham, A. E., 2020. Yeast a potential bio-agent: future for plant growth and postharvest disease management for sustainable agriculture. En: Appl Microbiol Biotechnol Yeast, 104(4), pp. 1497-1510. DOI: https://doi.org/10.1007/s00253-019-10321-3
Naamala, J. y Smith, D. L., 2020. Relevance of plant growth promoting microorganisms and their derived compounds, in the face of climate change. En: Agronomy, 10(8), pp. 1179. DOI: https://doi.org/10.3390/agronomy10081179
Nassar, A., El-Tarabily, K. A. y Sivasithamparam, K., 2005. Promotion of plant growth by an auxin-producing isolate of the yeast Williopsis saturnus endophytic in maize (Zea mays L.) roots. En: Biol Fertil Soils, 42, pp. 97–108. DOI: https://doi.org/10.1007/s00374-005-0008-y
Nutaratat, P., Srisuk, N., Arunrattiyakorn, P. y Limtong, S., 2014. Plant growth-promoting traits of epiphytic and endophytic yeasts isolated from rice and sugar cane leaves in Thailand. En: Fungal Biol, 118(8), pp. 683–94. DOI: https://doi.org/10.1016/j.funbio.2014.04.010
Olajire, A. A., 2012. The brewing industry and environmental challenges. En: J Clean Prod, 256, 102817. DOI: https://doi.org/10.1016/j.jclepro.2012.03.003
Paradiso, R., Arena, C., Miccom V. De, Giordano, M., Aronne, G. y Pascale, S. De., 2017. Changes in leaf anatomical traits enhanced photosynthetic activity of soybean grown in hydroponics with plant growth-promoting. En: Front. Plant Sci, 8, 674. DOI: http://doi: 10.3389/fpls.2017.00674
Philippot, L., Raaijmakers, J. M., Lemanceau, P., Putten, W. H. V. D., 2013. Going back to the roots: the microbial ecology of the rhizosphere. En: Rev. Microbiol., 11, pp. 789–799. DOI: https://doi.org/10.1038/nrmicro3109
Ramayo Cruz, P., 2018. Aprovechamiento de subproductos derivados de la elaboración de cerveza artesanal. Trabajo presentado para optar al título del máster universitario en gestión de calidad y trazabilidad en alimentos de origen vegetal [En línea]. Badajoz: Universidad de Extremadura. [Consulta: 1 de marzo de 2022]. Disponible en: https://dehesa.unex.es/handle/10662/8081
Resh, M. H., 2015. Hydroponics for the home grower. Boca Ratón: CRC Press. DOI: https://doi.org/10.1201/b18069
Rincón Reyna, J. F., Rincón Reyna, P. G., Torres Maravilla, E., Mondragón Rojas, A. G., Sánchez Pardo, M. E., Arana Cuenca, A., Ortiz Moreno, A., Jiménez García, E., 2016. Caracterización fisicoquímica y funcional de la fibra de mesocarpio de coco (Cocos nucifera L.) [En línea]. En: Investigación y Desarrollo en Ciencia y Tecnología de Alimentos, 1(2), pp. 279-284. [Consulta: 1 de noviembre de 2022]. Disponible en: http://www.fcb.uanl.mx/IDCyTA/files/volume1/2/3/49.pdf
Sambo, P., Nicoletto, C., Giro, A., Pii, Y., Valentinuzzi, F., Mimmo, T., Lugli, P., Orzes, G., Mazzetto, F., Astolfi, S., Terzano, R. y Cesco, S., 2019. Hydroponic solutions for soilless production systems: issues and opportunities in a smart agriculture perspective. En: Front. Plant Sci., 10, pp.923. DOI: https://doi.org/10.3389/fpls.2019.00923
Schindelin, J., Arganda-Carreras, I., Frise, E., Kaynig, V., Longair, M., Pietzsch, T., Preibisch S., Rueden C., Saalfeld S., Schmid B, Tinevez J-Y, White DJ., Hartenstein V, Eliceiri K., Tomancak P. y Cardona, A., 2012. Fiji: an open-source platform for biological-image analysis. En: Nat Methods, 9, pp. 676–682. DOI: https://doi.org/10.1038/nmeth.2019
Smart, K., Chambers, M., Lambert, I., Jenkins, C. y Smart, C.A., 1999. Use of methylene violet staining procedures to determine yeast viability and vitality. En: J Am Soc Brew Chem, 57(1), pp. 18-23. DOI: https://doi.org/10.1094/ASBCJ-57-0018
Villanueva, N. S., 2021. Mecanismos de inducción de rizobios para reducir el estrés por sequía en las leguminosas. En: Revista de Investigaciones Altoandinas, 23(4), pp. 258-265. DOI: https://dx.doi.org/10.18271/ria.2021.263
Weigel, D. y Glazebrook, J., eds., 2002. Arabidopsis: a laboratory manual. New York: Cold Spring Harbor Laboratory Press. ISBN-10: 0879695730.
Yam, K. L. y Papadakis, S. E., 2004. A simple digital imaging method for measuring and analyzing color of food surfaces. En: J. Food Process Eng., 61, pp.137–142. DOI: https://doi.org/10.1016/S0260-8774(03)00195-X
Archivos adicionales
Publicado
Cómo citar
Número
Sección
Licencia
Derechos de autor 2022 María Magdalena Vazquez, Silvina Quintana, Sandra Medici, Liesel Brenda Gende

Esta obra está bajo una licencia internacional Creative Commons Atribución-NoComercial 4.0.
Los autores del manuscrito declaran conocer y aceptar los siguientes términos de responsabilidad:
Haber participado lo suficiente en el trabajo como para hacer pública la responsabilidad por su contenido.
Que el manuscrito representa un trabajo original que no fue publicado ni está siendo considerado por otra revista para su publicación, en parte o en forma íntegra, tanto impresa como electrónica.
Que en caso de ser solicitado, procurará o cooperará en la obtención y suministro de datos sobre los cuales el manuscrito esté basado.
Declara que la información divulgada que pudiera pertenecer a un tercero cuenta con la autorización correspondiente.
Autorización para la publicación y compromiso de cita de primera publicación
Los autores/as conservan los derechos de autor y ceden a la revista INNOTEC / INNOTEC Gestión el derecho de la primera publicación, con el trabajo registrado con la licencia de atribución Creative Commons Reconocimiento-NoComercial 4.0 Internacional. Creative Commons, que permite a terceros utilizar lo publicado siempre que mencionen la autoría del trabajo y a la primera publicación en esta revista sin fines comerciales.
El autor se compromete a realizar la cita completa de la edición institucional de esta primer publicación en las siguientes publicaciones -completas o parciales- efectuadas en cualquier otro medio de divulgación, impreso o electrónico.
Los autores/as pueden realizar otros acuerdos contractuales no comerciales independientes y adicionales para la distribución no exclusiva de la versión del artículo publicado en esta revista (p. ej., incluirlo en un repositorio institucional o publicarlo en un libro) siempre que indiquen claramente que el trabajo se publicó por primera vez en esta revista.
Se permite a los autores/as publicar su trabajo en Internet (por ejemplo en páginas institucionales o personales) antes y durante el proceso de revisión, ya que puede conducir a intercambios productivos y a una mayor y más rápida difusión del trabajo publicado (vea The Effect of Open Access). A su vez los autores/as autorizan al LATU a publicar el trabajo en su repositorio digital.
Los conceptos y opiniones vertidos en los artículos son de responsabilidad de sus autores.
Este obra está bajo una licencia Reconocimiento-NoComercial 4.0 Internacional.




